B 270®
市场领先的透过率和厚度范围
B 270® 的材料特性
1. 光学
| 光学特性 | 值 |
|---|---|
| 折射率* ng | 1.5341 |
| 折射率* nF' | 1.5297 |
| 折射率* nF | 1.5292 |
| 折射率* ne | 1.5251 ± 0.001 |
| 折射率* nd | 1.5230 |
| 折射率* nD | 1.5229 |
| 折射率* nC' | 1.5207 |
| 折射率* nC | 1.5203 |
| 阿贝值 νe | 58.3 ± 0.6 |
| 光弹性常数 (nm/cm)/Mpa | 27.5 |
* 折光率:
样品预处理。出厂状态 [“如图所示”]
2. 热学
| 一般热学性能 | 单位 | 值 |
|---|---|---|
| 平均比热容 cp | J/(g·K) (20 °C ; 100 °C) | 0.8 |
| 转化温度 Tg | 单位 °C | 542 |
10-6·K-1 情况下的热膨胀系数 (CTE) α(静态测量)
| 度数 | 值 |
|---|---|
| (20 °C; 300 °C) | 9.4 |
| (20 °C; 200 °C) | 9.0 |
| (20 °C; 100 °C) | 8.6 |
10-6·K-1 情况下的热膨胀系数 (CTE) α (动态测量)
| 度数 | 值 |
|---|---|
| (20 °C; 100 °C) | 8.6 |
| (20 °C; 150 °C) | 8.8 |
| (20 °C; 200 °C) | 9.0 |
| (20 °C; 250 °C) | 9.2 |
| (20 °C; 300 °C) | 9.4 |
| (20 °C; 350 °C) | 9.6 |
| (20 °C; 400 °C) | 9.7 |
| (20 °C; 450 °C) | 9.9 |
| 黏度 | 黏度 lg ŋ(单位 dPas) | 温度 °C |
|---|---|---|
| 应变点 | 14.5 | 507 |
| 退火点 | 13.0 | 535 |
| 软化点 | 7.6 | 711 |
可熔性:
使用经调整适应的温度/时间程序与肖特 ARTISTA® 玻璃熔合,可产生技术上无应力且最大应力双折射率为 70 nm/cm 的化合物。
3. 机械学
| 机械特性 |
单位 | 值 |
|---|---|---|
| 密度 ρ | 单位 g/cm³ | 2.56 |
| 杨氏模量 E | 单位 kN/mm² | 71.1 |
| 泊松比 μ | 0.22 | |
| 扭转模量 G | 单位 kN/mm² | 29 |
| 努氏硬度 | HK 0.1/20 | 500 |
| 维氏硬度 | HV 0.2/25 | 510 |
化学钢化(厚度 = 2.0 mm)
| 单位 | 值 |
|---|---|
| 温度 ϑ (单位 °C) | 410 |
| 时间 t(单位:小时) | 4 |
| 压缩应力(CS)(单位:MPa) | 441 |
| 层深度(DoL)(单位:μm) | 11 |
热钢化:
可以进行 B 270® 热钢化
4. 化学
| 耐水解性(依据 DIN ISO 719) | 值 |
|---|---|
| 等级 | HGB 3 |
| 每克玻璃颗粒的碱当量(单位:μg/g) | 136 |
| 耐酸性(依据 DIN 12116) | 值 |
|---|---|
| 等级 | S 2 |
| 6 小时后半表面重量损失(单位:mg/dm²) | 0.7 |
| 耐碱性(依据 ISO 695) | 值 |
|---|---|
| 等级 | A 1 |
| 3 小时后的表面重量损失(单位:mg/dm²) | 71 |
5. 比色分析
| 厚度 2.0 mm 时的色度坐标* | 值 |
|---|---|
| D65 | x = 0.313 |
| D65 | y = 0.329 |
| A | x = 0.448 |
| A | y = 0.408 |
* 色度坐标(颜色轨迹)参考 CIE(2°-Observer)所称的标准光源
| 一般显色指数 Ra(厚度单位:mm) | 值 |
|---|---|
| 2.0 | 100 |
6. 电气
| 介电常数 εr(ϑ = 25 °C) | 值 |
|---|---|
| 1 MHz | 7.5 |
| 1 GHz | 6.7 |
| 2 GHz |
6.8 |
| 5 GHz | 6.7 |
| 24 GHz |
6.6 |
| 损耗因子 tan δ(ϑ = 25 °C) |
值 |
|---|---|
| 1 MHz | 32 · 10-4 |
| 1 GHz | 59 · 10-4 |
| 2 GHz |
66 · 10-4 |
| 5 GHz | 84 · 10-4 |
| 24 GHz | 150 · 10-4 |
| 体积电阻率 ρD (单位:Ω·cm)(50 Hz) |
|---|
| 6.1 · 107 (ϑ = 250 °C) |
| 1.6 · 106 (ϑ = 350 °C) |
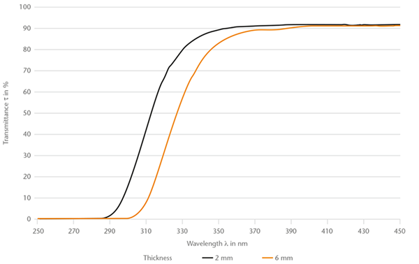
7. 透过率值
光谱透过率 250-3200 nm

光谱透过率 250-450 nm

| 厚度 2.0 mm 时的波长(nm): | τ (λ)(单位 %) |
|---|---|
| 254 | < 0.1 |
| 380 | 90.8 |
| 632.8 | 91.9 |
| 1064 | 91.8 |
| 厚度为 2 mm 时的边缘波长 | 波长(单位:nm) |
|---|---|
| λc (τ = 0,46) | 310 |
| λS (τ = 0,05) | 293 |
| λP (τ = 0,85) | 338 |
| 厚度为 2 mm 时紫外线辐射后的日晒* | Δ λc(单位:nm) |
|---|---|
| 沿较长波长方向的紫外光边缘波长偏移量 λc (τ = 0,46) | < 2 |
* 测量与测试程序:
样品将使用 UV - F 400 泛光灯进行照射。
照射时间为 7 小时;泛光灯与样品固定点之间的距离为 14 cm。
| 光透射率(厚度单位:mm) | τvD65 in % | τvA (单位:%) |
|---|---|---|
| 2.0 | 91.7 | 91.7 |
| 紫外线透射率(厚度单位:mm) | τUVA (单位:%) | τUVB (单位:%) |
|---|---|---|
| 2.0 | 84 | 19 |
| 红外透射率(厚度单位:mm) | τA(单位:%) |
|---|---|
| 2.0 | 91.9 |
| 太阳能直接透射比(厚度) | τe(单位:%) |
|---|---|
| 2.0 | 91.6 |
B 270® Thin 的材料特性
1. 光学
| 光学特性 | 值 |
|---|---|
| 折射率* ng | 1.5341 |
| 折射率* nF' | 1.5297 |
| 折射率* nF | 1.5292 |
| 折射率* ne | 1.5251 ± 0.001 |
| 折射率* nd | 1.5230 |
| 折射率* nD | 1.5229 |
| 折射率* nC' | 1.5207 |
| 折射率* nC | 1.5203 |
| 阿贝数 νe | 58.3 ± 0.6 |
| 光弹性常数 (nm/cm)/Mpa | 28.6 |
* 折射率:
样品预处理。出厂状态 [“如图所示”]
2. 热学
| 一般热学特性 | 单位 | 值 |
|---|---|---|
| CTE(热膨胀系数)α | 10-6·K-1 (20 °C; 300 °C) | 9.4 |
| 平均比热容 cp | 单位 J/(g·K) (20 °C ; 100 °C) | 0.8 |
| 转化温度 Tg | 单位 °C | 536 |
| 黏度 | 黏度 lg ŋ(单位 dPas) | 温度 °C |
|---|---|---|
| 应变点 | 14.5 | 505 |
| 退火点 | 13.0 | 535 |
| 软化点 | 7.6 | 723 |
3. 机械
| 机械特性 |
单位 | 值 |
|---|---|---|
| 密度 ρ | 单位 g/cm³ | 2.56 |
| 杨氏模量 E | 单位 kN/mm² | 69.8 |
| 泊松比 μ | 0.25 | |
| 扭转模量 G | 单位 kN/mm² | 28 |
| 努氏硬度 | HK 0.1/20 | 480 |
| 维氏硬度 | HV 0.2/25 | 520 |
化学钢化(厚度 = 0.3 mm)
| 单位 | 值 |
|---|---|
| 温度 [°C] | 410 |
| 时间 t(单位:小时) | 4 |
| 压缩应力(CS)(单位:MPa) | 331 |
| 层深度(DoL)(单位:μm) | 16 |
4. 化学
| 耐水解性(依据 DIN ISO 719) | 值 |
|---|---|
| 等级 | HGB 3 |
| 每克玻璃颗粒的碱当量(单位:μg/g) | 170 |
| 耐酸性(依据 DIN 12116) | 值 |
|---|---|
| 等级 | S 2 |
| 6小时后半表面重量损失(单位:mg/dm²) | 1.0 |
| 耐碱性(依据 ISO 695) | 值 |
|---|---|
| 等级 | A 2 |
| 3 小时后的表面重量损失(单位:mg/dm²) | 80 |
5. 电气
| 介电常数 εr(ϑ = 25°C 条件下) | 值 |
|---|---|
| 1 MHz | 7.2 |
| 1 GHz | 6.8 |
| 2 GHz |
6.8 |
| 5 GHz | 6.7 |
| 24 GHz |
6.8 |
| 77 GHz | 6.5 |
| 损耗因子 tanδ(ϑ = 25°C 条件下) |
值 |
|---|---|
| 1 MHz | 32 · 10-4 |
| 1 GHz | 59 · 10-4 |
| 2 GHz |
66 · 10-4 |
| 5 GHz | 84 · 10-4 |
| 24 GHz | 150 · 10-4 |
| 77 GHz | 230 · 10-4 |
| 直流电导率 σ(单位 S/cm) | 值 |
|---|---|
| 25°C | 5 · 10-16 |
| 250°C | 4 · 10-9 |
| 350°C | 2 · 10-7 |
| 50 Hz 交流电情况下体积电阻率 ρD(单位 Ω·cm) | 值 |
|---|---|
| 25°C | 8.6 · 1011 |
| 250°C | 2.4 · 108 |
| 350°C | 5.8 · 106 |
| 温度 tk 100 单位 °C | 值 |
|---|---|
| 108Ω·cm | 272 |
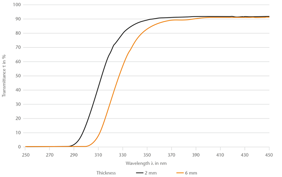
6. 透过率值
光谱透过率 250-3050 nm

光谱透过率: 250-450 nm

| 厚度0.3毫米情况下的波长(nm): | τ(λ) 单位% |
|---|---|
| 254 | < 0.1 |
| 380 | 91.3 |
| 632.8 | 92.0 |
| 1064 | 92.2 |
| 厚度(mm)情况下的边缘波长 λc(τ = 0.46) | 波长(单位 nm) |
|---|---|
| 0.3 | 287 |
| 0.9 | 299 |
| 厚度(mm)情况下的光透射率 | τvD65 单位% | τvA 单位% |
|---|---|---|
| 0.3 | 91.9 | 91.9 |
| 0.9 | 91.6 | 91.7 |
B 270® 产品
肖特 B 270® 供应形式:
- 玻璃片
- 裁切基板
- 抛光基板和晶圆
肖特 B 270® Thin 供应形式:
- 裁切基板
- 未抛光基板和晶圆
如要了解更多信息,请参见概述页面的相关产品。